積分法|定積分と区分求積法の関係について

区分求積法を扱った問題を解いてみよう
区分求積法に関する典型的な問題の1つにチャレンジしてみましょう。典型的な問題は以下のような感じです。
問題
\begin{align*} \quad \displaystyle \lim_{n \to \infty}{\left(\frac{1}{n^3} e^{\frac{1}{n}} \ + \ \frac {2^2}{n^3} e^{\frac{2}{n}} \ + \ \frac{3^2}{n^3} e^{\frac{3}{n}} \ + \cdots \cdots + \ \frac{n^2}{n^3} e^{\frac{n}{n}} \right)} \end{align*}を求めよ。
区分求積法を用いたときの式になっていることに気づくでしょうか。カッコの中は短冊の面積の和を表していて、極限を取っているのは、限りなく多く分割したことを表しています。
与式を計算して値を求めたいのですが、このままではちょっと出せそうにありません。そこで区分求積法と定積分の関係を利用します。
定積分と区分求積法の関係
\begin{align*} \quad \int_{a}^{b} {f \left(x \right) dx} =\lim_{n \to \infty}{\frac{b-a}{n}} \sum_{k=1}^{n}{f \left(a+\frac{b-a}{n} k \right)} \end{align*}特に、$0 \leqq x \leqq 1$ の区間のとき
\begin{align*} \quad \int_{0}^{1}{f \left(x \right) dx } =\lim_{n \to \infty}{\frac{1}{n}} \sum_{k=1}^{n}{f \left(\frac{k}{n} \right)} \end{align*}区分求積法で得られる式(右辺)から値を求めることはかなり大変です。しかし、定積分(左辺)に等しいことを利用すれば何とかなりそうです。
定積分に置き換えることができれば、関数の式と積分範囲が分かれば計算することができます。
与式を定積分の式に置き換えて計算しなさいということ。各項の形が同じだが、特定の箇所だけ数字が変わっていれば区分求積法を疑おう。
区分求積法に関わる問題だと予想がついたら、関数f(x)の式を探しましょう。
与式を変形して関数の式を求める
どのような関数の式にx座標を代入してy座標(短冊の縦の長さ)を求めたのかが分かれば、定積分の式への変形にまた一歩近づきます。
関数の式を求めるには、関係式の右辺(特に、図の右下または左下の黄枠)になるように式を変形します。目標は、「横幅×縦の長さの和」の形です。
式変形のコツをしっかり押さえると、意外と楽しく解ける問題になります。
式変形の手順
丸カッコ内の式を変形します。手順の一例は以下のようになります。
定積分の式への変換手順
- 式から「1/n」(短冊の横幅)をくくり出す。
- 「1/n」をくくり出した残りは、y座標の和(縦の長さの和)であるので、各項で数字が変化している箇所を探す。
- 数字が変化している箇所を見つけたら、分母をnとする分数の形に変形する。
- Σ(シグマ)を使うとき、一般項はn番目の項を参考にして、分子を「k」に置き換える。
- 「k/n」をxに置き換えたものが、定積分で使う関数f(x)の式。
- この関数の式を使って、区間0≦x≦1で定積分する。
実際に式を変形してみます。まず、各項から「1/n」(短冊の横幅)をくくり出します。
次に、各項で数字が変化している箇所を探します。変化している箇所は、eの前にある分数の分子と、eを底とする累乗の指数の2箇所あります。式によっては少し手を加える必要があり、本問でも手を加えています。
上手く変形できたら、Σと一般項を使って式を簡略化して表します。一般項はn番目の項ですが、n番目の項をそのまま使わないことに注意しましょう。Σで簡略化するときは、数字が変化する分子のnをkに置き換えましょう。
変数kの値の範囲は、分数が「1/n」から始まっているので「1からnまで」です。右上の頂点を利用したときの式です。
さいごに、x座標である「k/n」をxに置き換えると、定積分で利用する関数f(x)の式が得られます。
とにかく「1/n」でくくった後は、分母がnの分数を作っていく。Σ表記は、数列でも使うので慣れておこう。
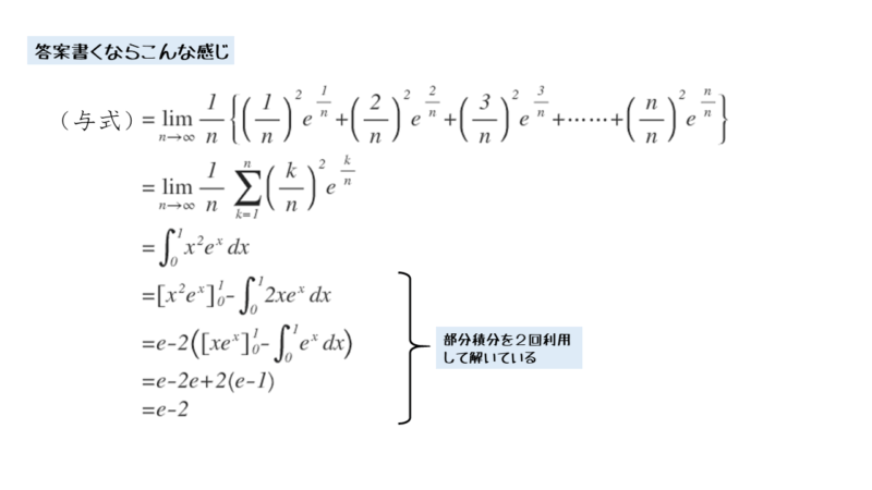
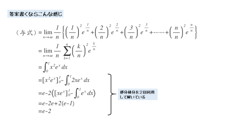
問の記述例は以下のようになります。
以上のように、区分求積法に関する問題では、式を上手に変形できるかがポイントです。
本問のように初めから分数があればピンときますが、問題によってはnを使った分数が見られないときがあります。そんなときには自分で作り出す必要があります。
そういう点では、本問は区分求積法を扱った基本問題になります。類題をたくさん解いて、式変形のコツをぜひ掴んで下さい。
Recommended books
理系の国公立大学であれば、数学3も2次試験の試験範囲に含まれます。なかなか数学3まで手が回らないかもしれませんが、せめて学校の授業で扱っているときにできるだけ効率的に学習しておきたいところです。
オススメその1
ボリューム満点なので、辞書的に利用すると良い教材です。
考え方や解き方を載せている教材は多いですが、どういう解法を選択すれば良いかという視点も解説されています。受験生にとってはありがたい教材です。
オススメその2
微積が必修の大学を受験する場合、これ一冊で対策できるでしょう。基礎の計算をはじめ、典型的な問題や頻出問題、そして応用問題と網羅されています。
消化不良にならないためにも、教科書内容を定着させてから取り組みたい教材です。
さいごに、もう一度まとめ
- 短冊の横幅はn等分なら「1/n」。
- 短冊の縦の長さは2パターン。
- 「1からnまで」でも「0からn-1まで」でもn個(n等分)。
- 区分求積法の式変形は、定積分の式に置き換えることが最終目標。
- 式変形では、まずは「1/n」をくくり出す。
- 式変形では、分母がnの分数の形を作る。
- 定積分に置き換えたら、あとは積分の計算問題。










