数学1・A|2017センター試験・第2問を解いてみよう

第2問〔2〕について
第2問〔2〕は「データの分析」に関する問題です。
全体の構成は、小問(1),(2),(3)の3部構成になっています。出題の順番や扱っている題材は多少変わっていますが、出題内容は例年通りです。
第2問〔2〕の小問(1)について
第2問〔2〕の小問(1)は、散布図に関する問題です。
解答欄シスセ
解答欄シスセは、散布図の読み取り、選択肢の内容と吟味する問題です。
選択肢0の吟味
選択肢0:XとVの間の相関は、XとYの間の相関よりも強い。
選択肢0は、散布図における相関の強さに関する説明文です。
散布図はデータの散らばり具合を知ることができる図です。データの散らばり具合を見れば、データの相関の強さも分かります。
散布図の散らばり具合から、XとYの間の相関の方が、XとVの間の相関よりも強いと読み取れます。ですから、XとVの間の相関は、XとYの間の相関よりも弱いと言えるので、選択肢0の内容は誤りと言えます。
データが散らばれば散らばるほど、データ間の相関は弱い。また、データが集まれば集まるほど、データ間の相関は強い。
選択肢1の吟味
選択肢1:XとYの間には正の相関がある。
選択肢1は、散布図における正負の相関についての説明文です。
散布図を座標平面のように4つの領域に分けると、反時計回りに右上の領域(Iの領域)、左上の領域(IIの領域)、左下の領域(IIIの領域)、右下の領域(IVの領域)ができます。
このように分けたとき、右上の領域(Iの領域)と左下の領域(IIIの領域)にデータが集まっていれば「正の相関がある」と言います。
また、左上の領域(IIの領域)と右下の領域(IVの領域)にデータが集まっていれば「負の相関がある」と言います。
散布図からXとYの間には正の相関があると読み取れるので、選択肢1の内容は正しいと言えます。
少し乱暴だが、データが右上がりに集まっているときに「正の相関」、右下がりに集まっているときに「負の相関」と覚えておくと良い。
選択肢2,3,4の吟味
選択肢2:Vが最大のジャンプは、Xも最大である。
選択肢3:Vが最大のジャンプは、Yも最大である。
選択肢4:Yが最小のジャンプは、Xは最小ではない。
選択肢2,3,4は、データの最大値や最小値についての説明文です。データの最大値や最小値を散布図から読み取らなければなりません。
散布図が3つあるので、データに合わせて参照する散布図を変えます。散布図からV,X,Yが最大になる点や、X,Yが最小になる点を探します。
VとXの散布図を参照すると、選択肢2の内容を吟味できます。
散布図からVが最大になる点とXが最大になる点とが一致しません。
選択肢3,4についても選択肢2と同じように点を探します。
3つの説明文を吟味すると、この中では選択肢4の内容だけが正しいと言えます。
選択肢5の吟味
選択肢5:Xが80以上のジャンプは、すべてVが93以上である。
選択肢5の吟味です。XとVに関する散布図を参照します。
散布図から、Xが80以上になるデータのうち、Vが93以上になる領域に入っていないデータがあることが読み取れるので、選択肢5の内容は誤りだと言えます。
選択肢6の吟味
選択肢6:Yが55以上かつVが94以上のジャンプはない。
選択肢6の吟味です。YとVに関する散布図を参照します。
散布図から重なった領域にデータがないと読み取れるので、選択肢6の内容は正しいと言えます。
散布図から読み取ると言っても、選択肢の内容と照らし合わせるだけの簡単な作業です。必要な散布図を選び、手早く吟味しましょう。
第2問〔2〕(1)のポイントと解答例をまとめると以下のようになります。
次は第2問〔2〕の小問(2)を解いてみましょう。
第2問〔2〕の小問(2)について
第2問〔2〕の小問(2)は、分散・共分散・相関係数に関する問題です。
解答欄ソタチ
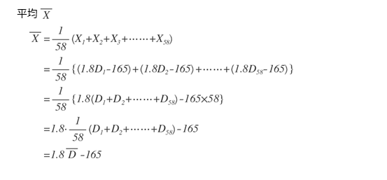
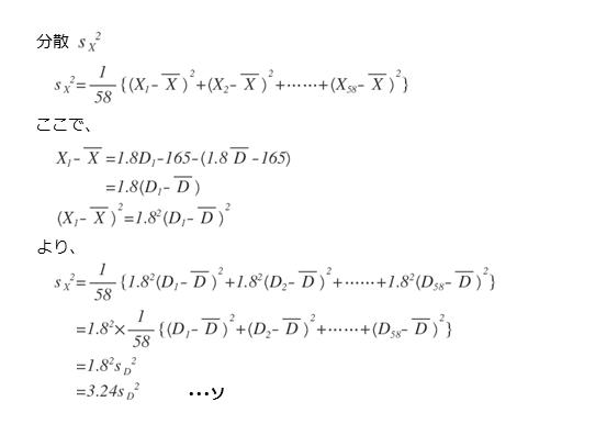
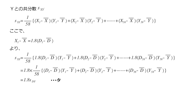
得点Xが飛距離Dの1次式で与えられています。これより、Xに関する分散・共分散・相関係数は、Dに関する分散・共分散・相関係数で表すことができます。
得点Xは飛距離Dの1次式で表される
Dに関する平均・分散・共分散・相関係数をそれぞれ求めておきます。また、XとDについての与式も展開して整理しておきます。
Xの平均を求めると、以下のようになります。得点XをDの1次式に置換して整理すると、Xの平均はDの平均で表すことができます。
また、Xの分散も同じ要領でDの分散で表すことができます。これが解答欄ソの答えになります。
さらに、XとYの共分散も同様にして、DとYの共分散で表すことができます。これが解答欄タの答えになります。
さいごに、XとYの相関係数をDとYの相関係数で表します。これが解答欄チの答えになります。
小問(2)のような問題は、2016年に摂氏と華氏との関係で出題されていました。
過去問で対策していれば解ける問題ですが、公式を暗記しているだけでは時間内に解くのは難しい問題だと思います。公式を使えるレベルかどうかがはっきりする良問だと思います。
ただ、試験中に導出するのは時間的に厳しいので、一度自力で導出した後は性質として覚えておきましょう。
2つのデータについて、一方のデータが他方のデータの一次式で表されるとき、平均や分散などは一般に以下のように表せます。
この性質を利用すれば、かなり時間を短縮することができました。
データが1次式で表されるときの性質を利用する
のとき
Xの分散
\begin{align*} \quad {s_X}^{2} = {\left(1.80\right)}^{2} \times {s_D}^{2} \end{align*}XとYの共分散
\begin{align*} \quad s_{XY} = 1.80 \times s_{DY} \end{align*}XとYの相関係数
\begin{align*} \quad r_{XY} = r_{DY} \end{align*}第2問〔2〕(2)のポイントと解答例をまとめると以下のようになります。
第2問〔2〕(2)のポイントと解答例の続きです。
次は、第2問〔2〕の小問(3)を解いてみましょう。
第2問〔2〕の小問(3)について
第2問〔2〕の小問(3)は、ヒストグラムや箱ひげ図に関する問題です。
解答欄ツ
解答欄ツに関する問題は、正しいヒストグラムと箱ひげ図の組み合わせを選ぶ問題です。
ヒントになるのは、文章中にある「1回目のX+Yの最小値」です。
1回目のX+Yの最小値は108.0です。
これをもとにして、ヒストグラムと箱ひげ図の最小値をそれぞれ確認します。
ヒストグラムと箱ひげ図より、Aとaの組み合わせが正しいことが分かります。
解答欄テ
解答欄テに関する問題は、箱ひげ図(図3)の読み取りに関する問題です。
選択肢の吟味
選択肢0:1回目のX+Yの四分位範囲は、2回目のX+Yの四分位範囲よりも大きい。
選択肢1:1回目のX+Yの中央値は、2回目のX+Yの中央値よりも大きい。
選択肢2:1回目のX+Yの最大値は、2回目のX+Yの最大値よりも小さい。
選択肢3:1回目のX+Yの最小値は、2回目のX+Yの最小値よりも小さい。
中央値は箱内の縦線(図の青矢印)に対応しています。
この縦線の位置を比べると1回目の方が右側にあるので、1回目の方が中央値が大きくなります。
このことから、選択肢1は正しいと言えます。
最大値はひげ右端の縦線(図の緑矢印)に対応しています。
この縦線の位置を比べると1回目の方が右側にあるので、1回目の方が最大値が大きくなります。
このことから、選択肢2は誤りと言えます。
最小値はひげ左端の縦線(図の黄矢印)に対応しています。
この縦線の位置を比べると2回目の方が左側にあるので、2回目の方が最小値が小さくなります。
このことから、選択肢3は誤りと言えます。
以上の吟味から、正しい選択肢は①となります。
箱ひげ図では、中央値、第1~3四分位数、四分位範囲などとの対応関係が問われる。
第2問〔2〕(3)のポイントと解答例をまとめると以下のようになります。
従来の第2問との比較
第2問は、図形と計量」と「データの分析」に関する問題でした。
「図形と計量」に関する問題は、図形によって難易度が左右されやすく、「データの分析」に関する問題は、数値の取り扱いが煩雑になりがちです。どちらの分野も意外と鬼門になりやすいです。
しかし、今回は「図形と計量」は解きやすく、「データの分析」の分析も例年と比べてほとんど数値を扱うことがありませんでした。
これらを考慮すると、完答するのは決して難しい要求とは言えないレベルの問題だったと思います。
Recommended books
先日、英語の民間検定試験導入に変更があった大学共通テスト。今後も内容が変更される可能性があるので、こまめに情報収集しておきたいところです。
数学でも記述問題が導入されますが、センター試験と本質的には変わりません。共通テストであっても誘導形式に沿って解くので、大筋ではほとんど変わりません。
また、数学ではどんな問題でも基本的に過程を無視して解くことはできません。つまり、記述しながら解くことは、共通テストに限らず、日常的に行います。日常学習で意識的に取り組んでいれば、記述の訓練は特別に必要ありません。
ただ、共通テストの傾向は知っておいて損はありません。傾向を知り、それに合わせて準備する。このことは時間を掛ければ掛けるほど効果的です。ここでは、傾向と対策のための教材を紹介します。
オススメ 『大学入学共通テスト 数学予想問題集』シリーズ
共通テストにおける数学の傾向は、これまでに実施されたプレテストを分析することで掴むことができます。あくまでも傾向なので、確実に当たるわけではありません。しかし、出題者の意図からどのような問題が出題されそうかは、対策する上でとても役立ちます。
日常学習でも「記述問題に出題されそうだ」などと自分なりに考えながら取り組むことが大切です。
共通テスト対策として必要なことをすべて備えた理想の予想問題集が完成
単に問題を解くだけでなく、その背景にある考え方や知識まで掘り下げて解説。「分析編」では、過去2回の試行調査(プレテスト)から見えてきた共通テストの出題傾向を詳細に分析するだけでなく、学習法や学習姿勢などの具体的な対策まで説明。本番でそのまま出そうな予想問題と、くわしい解説がセットになった至高の実践型問題集。
もくじ
- 本冊
- 分析編
- 解答・解説編
- 別冊
- 試行調査:2回分(2017年度/2018年度)
- 予想問題:2回分
公式サイトでは、一部の内容を閲覧できます。
KADOKAWAの公式サイト
大事なことは、自分に合った教材を徹底的に活用することです。どの教材を選ぶにしても、自分の目で中身を確認し、納得してから購入することが大切です。
教科書で確認しておきたい知識
- 正弦定理や余弦定理は利用できる条件とセットで覚えておく。
- 公式を変形して使う応用的な使い方をマスターしよう。
- 必ずしも「アルファベットが違う=角が違う」とは限らない。
- 散布図では、相関の強さや正負の相関が分かる。
- 平均・分散・標準偏差・共分散・相関係数などの公式の暗記だけで満足しない。
- 箱ひげ図と最大値・最小値、第1~3四分位数などとの対応関係を知っておく。























